欢迎来到深圳市OG真人科技有限公司官方网站!
服务热线:0755-82705922-811欢迎来电咨询,我们将竭诚为您服务!中文 | ENGLISH
首页动态常见问题
常见问题
最新产品发布: 光MOS继电器:1500v,3750Vrms,6pin; 逻辑10Mbp高隔离光耦:7500Vmrs,10Mbps,Lsop8
使用 PLC 评估板简化工业过程控制系统的设计(第1部分)
2022-05-11 来源: 深圳市OG真人科技有限公司
工业过程控制系统的 PLC 评估板应用多种多样,从简单的交通控制到复杂的电网,从环境控制系统到炼油厂过程控制。 这些自动化系统的智能在于其测量和控制单元。 处理各种模拟和数字输入和输出的两种最常见的基于计算机的控制机器和过程的系统是可编程逻辑控制器 (PLC) 和分布式控制系统 (DCS)。 这些系统包括电源、中央处理器单元 (CPU) 和各种模拟输入、模拟输出、数字输入和数字输出模块。
标准的通信协议已经存在很多年了; 模拟变量的范围主要是 4 mA 到 20 mA、0 V 到 5 V、0 V 到 10 V、+/-5 V 和 +/-10 V。关于下一个无线解决方案的讨论很多 - 代系统,但设计人员仍声称 4 mA 至 20 mA 通信和控制回路将继续使用多年。 下一代这些系统的标准将包括更高的性能、更小的尺寸、更好的系统诊断、更高级别的保护和更低的成本——所有这些因素将帮助制造商将他们的设备与竞争对手的设备区分开来。
本文研究了过程控制系统及其包含的模拟输入/输出模块的关键性能要求,并介绍了一种工业过程控制评估系统,该系统使用最新的集成电路技术集成了这些构建块。 本文还探讨了设计能够承受工业环境中的电快速瞬变 (EFT)、静电放电 (ESD) 和电压浪涌的稳健系统所面临的挑战,并提供了验证设计稳健性的测试数据。
PLC 概述
应用示例
图 1 显示了一个基本的过程控制系统构建块。 通过输入模块监控过程变量,例如流速或气体浓度。 信息由中央控制单元处理;输出模块采取一些动作,例如驱动执行器。
图 2 显示了这种类型的典型工业子系统。 在这里,CO2 气体传感器确定保护区内积聚的气体浓度,并将信息传输到中央控制点。 控制单元包括一个模拟输入模块,用于调节来自传感器的 4 mA 至 20 mA 信号、一个中央处理单元和一个控制所需系统变量的模拟输出模块。电流回路可以处理大电容负载——通常可以找到 在某些工业系统中经历的数百米长的通信路径上。传感器元件的输出(代表气体浓度水平)被转换为标准的 4 mA 至 20 mA 信号,通过电流回路传输。这个简化的示例 显示连接到单通道输入模块的单个 4 mA 至 20 mA 传感器输出和单个 0 V 至 10 V 输出。实际上,大多数模块具有多个通道和可配置范围。
输入/输出模块的分辨率通常为 12 至 16 位,在工业温度范围内具有 0.1% 的精度。 桥式传感器的输入范围小至 +/-10 mV,致动器控制器的输入范围大至 +/-10 V,或者过程控制系统中的 4 mA 至 20 mA 电流。 模拟输出电压和电流范围通常包括 +/-5 V、+/-10 V、0 V 至 5 V、0 V 至 10 V、4 mA 至 20 mA 和 0 mA 至 20 mA。 数模转换器 (DAC) 的稳定时间要求从 10 us 到 10 ms 不等,具体取决于应用和电路负载。
将 4 mA 到 20 mA 范围映射为代表正常气体检测范围; 超出此范围的电流值可用于提供故障诊断信息,如表 1 所示。
PLC评估系统
此处描述的 PLC 评估系统集成了生成完整输入/输出设计所需的所有阶段。 它包含四个完全隔离的 ADC 通道、一个带 RS-232 接口的 ARM7 微处理器和四个完全隔离的 DAC 输出通道。 该板由直流电源供电。 硬件可配置输入范围包括 0 V 至 5 V、0 V 至 10 V、+/-5 V、+/-10 V、4 mA 至 20 mA、0 mA 至 20 mA、+/-20 mA,以及 作为热电偶和 RTD。 软件可编程输出范围包括 0 V 至 5 V、0 V 至 10 V、+/-5 V、+/-10 V、4 mA 至 20 mA、0 mA 至 20 mA 和 0 mA 至 24 mA。
输出模块:
表 2 突出显示了 PLC 输出模块的一些关键规格。 由于真正的系统精度在于测量通道 (ADC),控制机制 (DAC) 只需要足够的分辨率来调整输出。 对于高端系统,需要 16 位分辨率。 使用标准数模架构实际上很容易满足这一要求。 精度并不重要;12 位积分非线性 (INL) 通常足以满足高端系统的需求。
通过超量程输出和微调以达到所需值,很容易在 25C 下实现 0.05% 的校准精度。 今天的 16 位 DAC,例如 AD5066,在 25C 时提供 0.05 mV 的典型失调误差和 0.01% 的典型增益误差,在许多情况下无需校准。 0.15% 的总精度误差听起来可以控制,但在指定温度范围内时实际上是相当激进的。 30 ppm/C 的输出漂移会在工业温度范围内增加 0.18% 的误差。
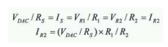
输出模块可能具有电流输出、电压输出或组合。 图 4 显示了使用分立元件实现 4 mA 至 20 mA 环路的经典解决方案。AD5660 16 位 nanoDAC 转换器提供 0 V 至 5 V 输出,通过检测电阻 RS 设置电流,因此, a 通过 R1。 该电流通过 R2 镜像。
设置 RS = 15 kohm、R1 = 3 kohm、R2 = 50 ohm 并使用 5-V DAC 将导致 IR2 = 20 mA 最大值。
这种分立设计存在许多缺点:其高组件数会导致显着的系统复杂性、电路板尺寸和成本。计算总误差很困难,多个组件会增加不同程度的误差,系数可能具有不同的极性。 该设计不提供短路检测/保护或任何级别的故障诊断。 它不包括许多工业控制模块所需的电压输出。 添加任何这些功能都会增加设计复杂性和组件数量。 更好的解决方案是将上述所有功能集成在单个 IC 上,例如 AD5412/AD5422 低成本、高精度、12 位/16 位数模转换器。 它们提供的解决方案提供完全集成的可编程电流源和可编程电压输出,旨在满足工业过程控制应用的要求。
输出电流范围可编程为 4 mA 至 20 mA、0 mA 至 20 mA 或 0 mA 至 24 mA 超范围功能。电压输出可在单独的引脚上提供,可配置为提供 0 V 至 5 V、0 V 至 10 V、+/-5 V 或 +/-10 V 量程,所有量程均提供 10% 的超量程。 模拟输出具有短路保护,这是在输出接线错误的情况下的一个关键特性——例如,当用户将输出连接到地而不是负载时。 AD5422 还具有开路检测功能,可监控电流输出通道,以确保输出和负载之间没有发生故障。 如果发生开路,FAULT 引脚将激活,向系统控制器发出警报。AD5750 可编程电流/电压输出驱动器具有短路检测和保护功能。
图 6 显示了 PLC 评估系统中使用的输出模块。早期的系统通常需要 500 V 至 1 kV 的隔离,而今天通常需要 >2 kV。ADuM1401 数字隔离器使用 iCoupler 技术在 MCU 和 远程负载,或输入/输出模块和背板之间。 ADuM1401 的三个通道在一个方向上通信;第四个通道在相反方向上通信,提供来自转换器的隔离数据回读。 对于较新的工业设计,ADuM3401 及其数字隔离器系列的其他成员可提供增强的系统级 ESD 保护。
AD5422 产生自己的逻辑电源 (DVCC),可直接连接到 ADuM1401 的现场侧,无需将逻辑电源跨过隔离栅。 AD5422 包含一个内部检测电阻器,但在需要较低漂移时可以使用一个外部电阻器 (R1)。 由于检测电阻控制输出电流,其电阻的任何漂移都会影响输出。 内部检测电阻的典型温度系数为 10 ppm/C 至 20 ppm/C,在 60C 温度范围内可能会增加 0.12% 的误差。 在高性能系统应用中,可以使用外部 2-ppm/C 检测电阻器将漂移保持在 0.016% 以下。
AD5422 具有一个内部 10-ppm/C 最大电压基准,可在 PLC 评估系统的所有四个输出通道上启用。或者,ADR445 超低噪声 XFET 电压基准具有 0.04% 的初始精度和 3 ppm/C ,可用于两个输出通道,允许进行性能比较,并根据所需的总系统性能选择内部与外部参考。
输入模块:输入模块设计规范与输出模块类似。 高分辨率和低噪声通常很重要。 在工业应用中,当测量来自热电偶、应变计和桥式压力传感器的低电平信号时,需要差分输入,以抑制来自电机、交流电源线或其他将噪声注入模拟的噪声源的共模干扰 模数转换器 (ADC) 的输入。
Sigma-delta ADC 是最流行的输入模块选择,因为它们提供高精度和分辨率。 此外,内部可编程增益放大器 (PGA) 允许精确测量小输入信号。 图 7 显示了评估系统中使用的输入模块设计。 AD7793 3 通道、24 位 Σ-Δ ADC 配置为适应大范围的输入信号,例如 4 mA 至 20 mA、+/-10 V,以及直接来自传感器的小信号输入。
小心使这种通用输入设计易于适应 RTD/热电偶模块。 如图所示,每个输入通道提供两个输入端子块。 一个输入允许直接连接到 AD7793。 用户可以对内部 PGA 进行编程,以提供高达 128 的模拟增益。第二个输入允许通过 AD8220 JFET 输入仪表放大器对信号进行调理。在这种情况下,输入信号经过衰减、放大和电平转换,以提供 ADC的单端输入。 除了提供电平转换功能外,AD8220 还具有非常好的共模抑制,这在具有宽动态范围的应用中非常重要。
低功耗、高性能 AD7793 消耗 <500 A,而 AD8220 消耗 <750 A。该通道设计用于接受 4 mA 至 20 mA、0 V 至 5 V 和 0 V 至 10 V 模拟输入。输入模块中的其他通道设计用于双极操作,以接受 +/-5 V 和 +/-10 V 输入信号。要测量 4 mA 至 20 mA 输入信号,可以将低漂移精密电阻 (S4) 切换到电路中。在本设计中,它的电阻为 250 欧姆,但只要产生的电压在 AD8220 的输入范围内,任何值都可以使用。测量电压时,S4 保持开路。大多数输入模块设计都需要隔离。图 7 显示了如何在 PLC 评估系统的一个通道上实现隔离。 ADuM5401 4 通道数字隔离器使用 isoPower6 技术提供 2.5kV rms 信号和电源隔离。除了提供四个隔离信号通道外,ADuM5401 还包含一个隔离 DC-DC 转换器,该转换器提供 5V、500mW 的稳压输出,为输入模块的模拟电路供电。完整系统:
整个系统的概览如图 8 所示。ADuC7027 精密模拟微控制器是主系统控制器。
其 32 位架构采用 ARM7TDMI 内核,可轻松连接到 24 位 ADC。它还支持 16 位拇指模式,如果需要,它允许更高的代码密度。 ADuC7027 具有 16 kB 板载闪存,并允许连接至高达 512 kB 的外部存储器。 ADP3339 高精度、低压差稳压器 (LDO) 为微控制器提供稳压电源。
评估板和 PC 之间的通信通过 ADM3251E 隔离式 RS-232 收发器提供。 ADM3251E 采用 isoPower 技术,无需单独的隔离式 DC-DC 转换器。 它非常适合在电气恶劣的环境或经常插入或拔出 RS-232 电缆的情况下运行,因为 RS-232 引脚 Rx 和 Tx 可防止高达 +/-15 kV 的静电放电。

OG真人
网站地图